Selasa, 29 September 2020

35+ Need Of Code Optimization In Compiler Design Pictures

35+ Need Of Code Optimization In Compiler Design
Pictures
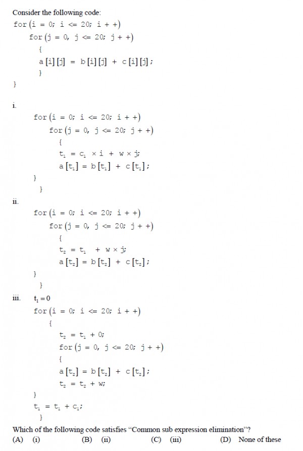
. A program transformation technique used for improving the code by enabling it to consume fewer resources and deliver high speed is known as optimization. Likewise, if a compiler needs to handle many millions of lines of code, it can't waste 8gb of ram storing data for its analysis phase.

Stages Of Compiler Design Programming Languages Algorithms Programming Katalog Statej Bzfar
Stages Of Compiler Design Programming Languages Algorithms Programming Katalog Statej Bzfar from www.bzfar.org
I use codewarrior to compile a long c program ive been working on for over 10 years. In compiler optimization, operator strength reduction uses mathematical identities to replace slow math operations with faster operations. Likewise, if a compiler needs to handle many millions of lines of code, it can't waste 8gb of ram storing data for its analysis phase.

On modern computers, a compiler can be considered to have satisfactory performance if it translates a moderate size source program (say about 1000 lines) in a matter of seconds.

In compiler optimization, operator strength reduction uses mathematical identities to replace slow math operations with faster operations. In compiler design, code optimization is an approach for enhancing the performance of the code. The optimization must be now that we learned the need for optimization and its two types,now let's see where to apply these intermediate code optimizing the intermediate code involves changing the address calculations and. Likewise, if a compiler needs to handle many millions of lines of code, it can't waste 8gb of ram storing data for its analysis phase.


logoblog

Tidak ada komentar:

Posting Komentar